安杰利-里米尼反应
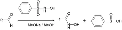
安杰利-里米尼反应(義大利語:)指醛与N-羟基苯磺酰胺在碱存在下发生反应生成酰基羟胺(异羟肟酸)和亚磺酸。

安杰利-里米尼反应
鉴定
该反应与酰基羟胺和氯化铁的显色反应联用可用于醛类的鉴定。将数滴待测试液溶于乙醇,加入N-羟基苯磺酰胺和氢氧化钠溶液,然后酸化,以刚果红为指示剂。向上述液体中加入一滴氯化铁溶液,若变为红色则证明待测试液中有醛存在。N-羟基苯磺酰胺由羟胺与苯磺酰氯和金属钾在乙醇中反应制备。[4]

酰基羟胺与铁离子的配位作用
反应机理
安杰利-里米尼反应的具体机理目前仍不清楚。[5] 两种可行的机理见下图。

安杰利-里米尼反应
N-羟基苯磺酰胺 (1)或其去质子化后形成的负离子 (2)作为亲核试剂与醛 (3)作用生成中间体 (4)。一种机理认为 (4) 然后发生分子内质子交换生成 (5),(5) 消除亚磺酸根离子,同时产生亚硝基化合物 (6),亚硝基化合物发生重排后得到酰基羟胺 (8)。另一种机理则认为是 (4) 直接进行分子内亲核进攻,消除亚磺酸根离子,生成三元中间体N-羟基噁吖丙环,然后该中间体经过开环,得到酰基羟胺。
也有人提出负离子 (2)发生消除后可生成氮烯中间体 (10),不过实验并不能用低级烯烃捕捉到上述氮烯中间体,这个机理基本上已被排除。
参见
参考资料
- Angelo Angeli Gazz. Chim. Ital. 1896, 26, 17.
- Rimini, E. Gazz. Chim. Ital. 1901, 31, 84.
- Angeli-Rimini's Reaction on Solid Support: A New Approach to Hydroxamic Acids Andrea Porcheddu and Giampaolo Giacomelli J. Org. Chem.; 2006; 71(18) pp 7057 - 7059; (Note) (doi:10.1021/jo061018g)
- Gattermann, Ludwig, The Practical Methods of Organic Chemistry, 1937 Link (页面存档备份,存于) (4.5 MB)
- Reaction of aldehydes with N-hydroxybenzenesulfonamide. Acetal formation catalyzed by nucleophilesAlfred Hassner, E. Wiederkehr, and A. J. Kascheres J. Org. Chem.; 1970; 35(6) pp 1962 - 1964; (doi:10.1021/jo00831a052)
This article is issued from Wikipedia. The text is licensed under Creative Commons - Attribution - Sharealike. Additional terms may apply for the media files.