伍德沃德顺式双羟基化反应
Woodward顺式双羟基化反应(Woodward cis-dihydroxylation),以美国化学家Robert Burns Woodward的名字命名。
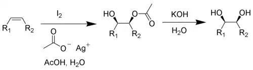
烯烃与碘和乙酸银在含水乙酸中作用,再经碱水解,得相应的顺式邻二醇。[1][2]

Woodward顺式双羟化
反应机理
碘与乙酸银作用产生亲电性的含碘物种,它对烯烃双键发生亲电加成,得碘鎓杂丙环中间体。该中间体被乙酸根离子开环,得碘代乙酸酯。之后碘代酯再与另一分子乙酸银作用,碘被拉下来,该位置的碳正离子被邻位酰基通过邻基参与效应成环而得到稳定。最后水解得邻二醇单酯。该单酯又可继续水解得邻二醇。

Woodward顺式双羟化的机理
参见
参考资料
- Woodward, R. B., 美國專利第2,687,435号
- Woodward, R. B.; Brutcher, F. V. J. Am. Chem. Soc. 1958, 80, 209. (doi:10.1021/ja01534a053)
- Mangoni, L.; Dovinola, V. Tetrahedron Lett. 1969, 60, 5235.
This article is issued from Wikipedia. The text is licensed under Creative Commons - Attribution - Sharealike. Additional terms may apply for the media files.