二亚苄基丙酮
二亚苄基丙酮或称为二苯乙烯基丙酮,也称为二苄叉丙酮,通常简写为dba,是一种具有分子式C17H14O的有机化合物。它是一种不溶于水但溶于乙醇的亮黄色固体。二亚苄基丙酮用于防曬油的添加剂,且作为有机金属化学中的常用配体,如化合物三(二亚苄基丙酮)二钯。
| 二亚苄基丙酮 | |
|---|---|
![]() | |
![]() | |
![]() | |
| IUPAC名 (1E,4E)-1,5-diphenylpenta-1,4-dien-3-one | |
| 别名 | Dibenzalacetone |
| 识别 | |
| CAS号 | 538-58-9 |
| PubChem | 1549622 |
| ChemSpider | 1266463 |
| SMILES |
|
| InChI |
|
| InChIKey | WMKGGPCROCCUDY-HEEUSZRZBF |
| 性质 | |
| 化学式 | C17H14O |
| 234.29 g/mol g·mol⁻¹ | |
| 外观 | 黃色晶體 |
| 熔点 |
|
| 沸点 | 130 °C (cis,cis isomer) *Merck |
| 溶解性(水) | Insoluble |
| 危险性 | |
| 主要危害 | Irritant |
| 若非注明,所有数据均出自标准状态(25 ℃,100 kPa)下。 | |
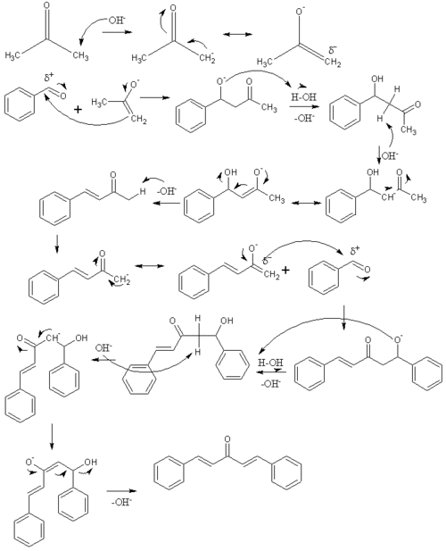
制备
该化合物可以在实验室中通过苯甲醛与丙酮在氢氧化钠的乙醇/水条件下,发生羟醛缩合反应制备。制备得到的产物为反式,反式异构体,熔点为110–111 °C。[1]
参考文献
- Conard, C. R.; Dolliver, M. A. (1943). "Dibenzalacetone". Org. Synth.; Coll. Vol. 2: 167.
- Rao, G. N.; Janardhana, C.; Ramanathan, V.; Rajesh, T.; Kumar, P. H. . J. Chem. Educ. November 2006, 83 (11): 1667 [2013-10-27]. doi:10.1021/ed083p1667. (原始内容存档于2008-07-24). (页面存档备份,存于)
This article is issued from Wikipedia. The text is licensed under Creative Commons - Attribution - Sharealike. Additional terms may apply for the media files.




