丝胶蛋白
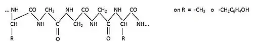
丝胶蛋白(sericin)或称丝胶,是蚕或柞蚕在生产蚕丝时所分泌的一种蛋白质。蚕丝主要由丝胶蛋白及丝蛋白两种蛋白质构成。蚕丝中含有70-80%的丝蛋白及20-30%的丝胶蛋白,丝蛋白是蚕丝的结构中心,而丝胶蛋白则在外侧,将蚕丝黏在一起。丝胶蛋白结构上由18种不同的氨基酸组成,其中32%为丝氨酸。

丝胶蛋白的三维结构
其化学式为C30H40N10O16。

丝胶蛋白结构式
参考资料
- Zaoming W, Codina R, Fernández-Caldas E, Lockey RF. . J Investig Allergol Clin Immunol. 1996, 6 (4): 237–241. PMID 8844500.
This article is issued from Wikipedia. The text is licensed under Creative Commons - Attribution - Sharealike. Additional terms may apply for the media files.